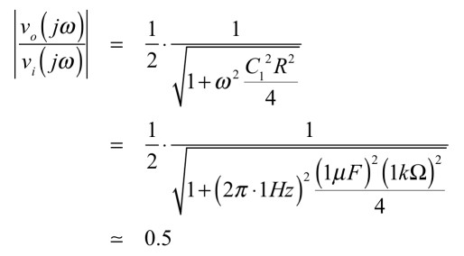
《ダウンロード》一覧
ダウンロードしたいデータを,フリーワードやカテゴリから探せます.
フリーワード検索
カテゴリ
- 画像
- Tech Village(組み込みネットなど)
- トランジスタ技術
- エレキジャック
- ディジタル・デザイン・テクノロジ
- Interface
- TECH I
- CQ ham radio
- エレキジャック・フォーラム
- Smartphone World
- TEST_広告
検索結果一覧
12967件ヒットしました.
«前の20件 ... 387 388 389 390 391 392 393 394 395 396 397 398 399 400 401 402 403 404 405 ... 次の20件»
«前の20件 ... 387 388 389 390 391 392 393 394 395 396 397 398 399 400 401 402 403 404 405 ... 次の20件»








